第二节 实数及其运算
1、实数的组成
2、实数的基本性质
3、实数的运算
例1:问题的求解
A. 是11的倍数 B. 不是11的倍数 C. 不都是11的倍数
D. 是质数 E. 以上答案均不正确
(2)两个非零自然数的更大公约数是6,更小公倍数是180,则满足条件的两个自然数组成的数对共有
A. 1对 B. 2对 C. 3对 D. 4对 E.5对

A. 163 B. 164 C. 165 D.166 E. 167

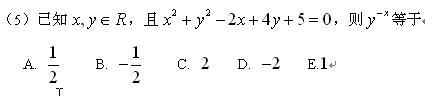
A. 1 B. -1 C. 2 D. -2 E. 以上答案均不正确

例2:充分性判断
(1)三个实数的积为1
① 这三个实数两两互为相反数 ② 这三个实数两两互为倒数
(2)一定是偶数

(4)自然数的各位数字之积为6
① 是除以5余3,除以7余2的更小自然数
② 是形如的更小自然数

希望大家在备考中认真细致,更终考入理想院校。同时,中公管理人也为大家准备了一些MBA课程,包括VIP协议课程和精品课程,如果大家在备考中遇到任何问题均可咨询中公管理人(mba.offcn.com)。备考过程中是孤独的,大家考研过程中想找个研友或者想要讨论问题,有志同道合的朋友陪伴或许能产生一加一大于二的效果,扫下方二维码可以加入2020MBA/MPA/MEM备考群,快来加入吧!

免责声明:本站所提供的内容均来源于网友提供或网络搜集,由本站编辑整理,仅供个人研究、交流学习使用,不涉及商业盈利目的。如涉及版权问题,请联系本站管理员予以更改或删除